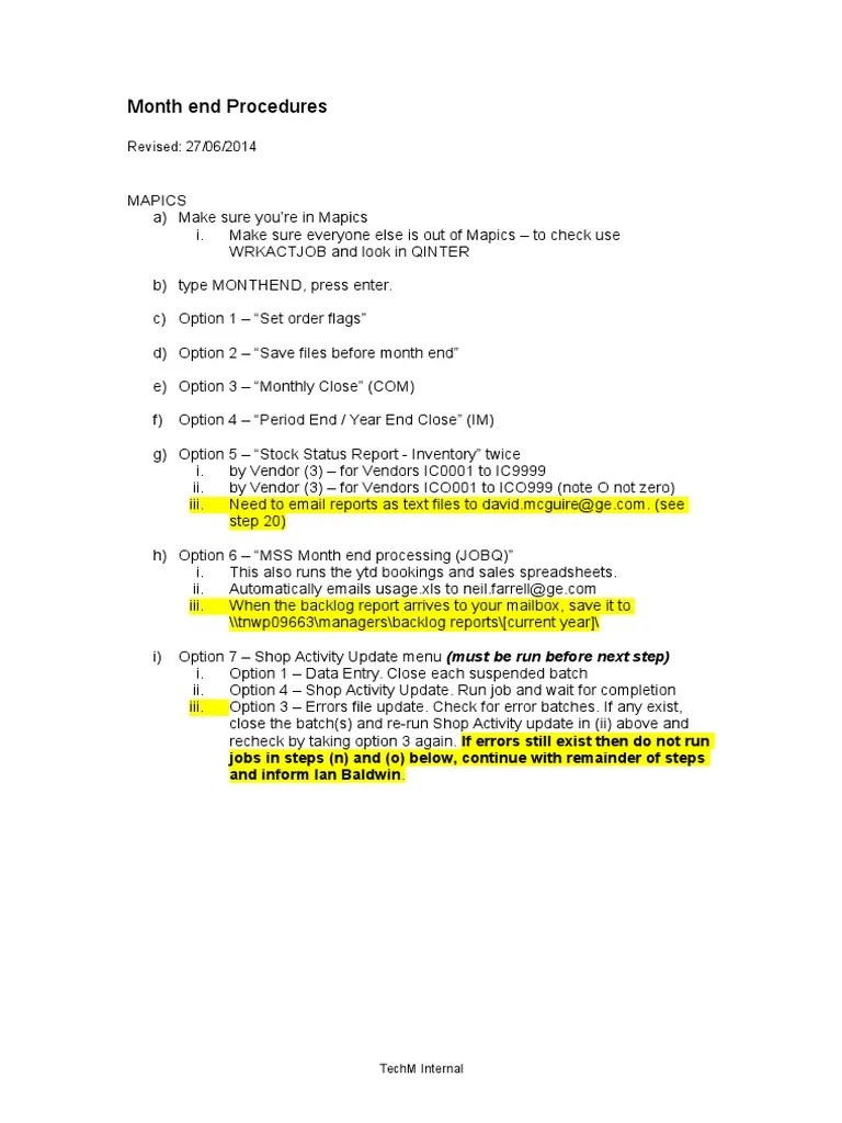
Improving Your Skills In Simple Excel Month End Accounting Close Worksheet To Impress Everyone

Welcome to our Wallpaper wallpaper blog, where we curate and share the most beautiful and inspiring wallpapers from around the world.

Improving Your Skills In Simple Excel Month End Accounting Close Worksheet To Impress Everyone. That simply doesn’t need to be the case. Web you can download our free excel accounting template here.

45 New Image Of Accounting Month End Close Checklist Resume Layout
45 New Image Of Accounting Month End Close Checklist Resume Layout from db-excel.com

Web simple budget template weigh expenses against income to gain insight into your financial overview with this simple budget template. Type the end date for the last day for the month being reconciled. That simply doesn’t need to be the case.

An Excel Calendar Template May Have One Or More Of These Features:


Begin preparing nonstandard journal entries (including intercompany, if applicable) note: Import, export, and delete tools guaranteed to increase efficiency and reduce errors That simply doesn’t need to be the case.

Type The End Date For The Last Day For The Month Being Reconciled.


We hope you can use our excel. Manage the entire close from a single place and give everyone visibility. Web create a client trust listing for the month to be closed leave the matter, client, and resp lawyer boxes blank.

Ad Over 2,000 Accounting Teams Trust Floqast For Their Accounting Workflow Automation Needs.


With the right tools and a. Ad save time & money. Centralize financial documents and approvals in one location to share with your accounting team and keep everyone on track.

Ad Over 2,000 Accounting Teams Trust Floqast For Their Accounting Workflow Automation Needs.


With a basic dashboard that highlights. Manage the entire close from a single place and give everyone visibility. Web simple budget template weigh expenses against income to gain insight into your financial overview with this simple budget template.

But If You Want To Remove All Of The Manual Processes Involved In Accounting With Excel, We’ve Got An.


Web a template provides a basic calendar layout that you can easily adapt for your needs. Web financial month end template. See why 30,000+ accountants use transaction pro to increase accuracy.